All Paths from Source Lead to Destination

Medium Company Tags

Given the edges of a directed graph where edges[i] = [aᵢ, bᵢ] indicates there is an edge between nodes aᵢ and bᵢ, and two nodes source and destination of this graph, determine whether or not all paths starting from source eventually, end at destination, that is:

  • At least one path exists from the source node to the destination node
  • If a path exists from the source node to a node with no outgoing edges, then that node is equal to destination.
  • The number of possible paths from source to destination is a finite number.

Return true if and only if all roads from source lead to destination.

Example 1:

Input: n = 3, edges = [[0,1],[0,2]], source = 0, destination = 2

Output: false

Explanation: It is possible to reach and get stuck on both node 1 and node 2.

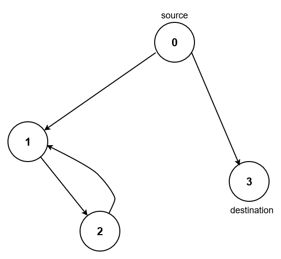
Example 2:

Input: n = 4, edges = [[0,1],[0,3],[1,2],[2,1]], source = 0, destination = 3

Output: false

Explanation: We have two possibilities: to end at node 3, or to loop over node 1 and node 2 indefinitely.

Example 3:

Input: n = 4, edges = [[0,1],[0,2],[1,3],[2,3]], source = 0, destination = 3

Output: true

Constraints:

  • 1 <= n <= 10⁴
  • 0 <= edges.length <= 10⁴
  • edges.length == 2
  • 0 <= aᵢ, bᵢ <= n - 1
  • 0 <= source <= n - 1
  • 0 <= destination <= n - 1
  • The given graph may have self-loops and parallel edges.


Company Tags
Solution 1
||Ln 1, Col 1

n =

edges =

source =

destination =