Binary Tree Longest Consecutive Sequence II

Medium

Company Tags

Given the root of a binary tree, return the length of the longest consecutive path in the tree.

A consecutive path is a path where the values of the consecutive nodes in the path differ by one. This path can be either increasing or decreasing.

  • For example, [1,2,3,4] and [4,3,2,1] are both considered valid, but the path [1,2,4,3] is not valid.

On the other hand, the path can be in the child-Parent-child order, where not necessarily be parent-child order.

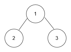
Example 1:

Input: root = [1,2,3]

Output: 2

Explanation: The longest consecutive path is [1, 2] or [2, 1].

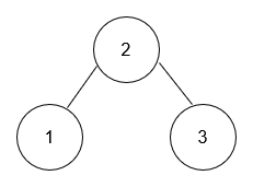
Example 2:

Input: root = [2,1,3]

Output: 3

Explanation: The longest consecutive path is [1, 2, 3] or [3, 2, 1].

Constraints:

  • The number of nodes in the tree is in the range [1, 3 * 10⁴].
  • -3 * 10⁴ <= Node.val <= 3 * 10⁴


Company Tags
Solution 1
||Ln 1, Col 1

root =