Binary Tree Longest Consecutive Sequence

Medium Company Tags

Given the root of a binary tree, return the length of the longest consecutive sequence path.

A consecutive sequence path is a path where the values increase by one along the path.

Note that the path can start at any node in the tree, and you cannot go from a node to its parent in the path.

Example 1:

Input: root = [1,null,3,2,4,null,null,null,5]

Output: 3

Explanation: Longest consecutive sequence path is 3-4-5, so return 3.

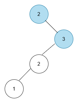
Example 2:

Input: root = [2,null,3,2,null,1]

Output: 2

Explanation: Longest consecutive sequence path is 2-3, not 3-2-1, so return 2.


Constraints:

  • The number of nodes in the tree is in the range [1, 3 * 10⁴].
  • -3 * 10⁴ <= Node.val <= 3 * 10⁴


Company Tags
Solution 1
||Ln 1, Col 1

root =