Clone N-ary Tree

Medium Company Tags

Given a root of an N-ary tree, return a deep copy (clone) of the tree.

Each node in the n-ary tree contains a val (int) and a list (List[Node]) of its children.

class Node {
    public int val;
    public List<Node> children;
}

Nary-Tree input serialization is represented in their level order traversal, each group of children is separated by the null value (See examples).

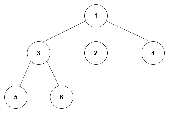
Example 1:

Input: root = [1,null,3,2,4,null,5,6]

Output: [1,null,3,2,4,null,5,6]

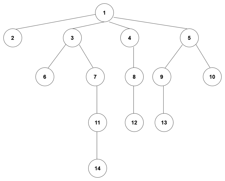
Example 2:

Input: root = [1,null,2,3,4,5,null,null,6,7,null,8,null,9,10,null,null,11,null,12,null,13,null,null,14]

Output: [1,null,2,3,4,5,null,null,6,7,null,8,null,9,10,null,null,11,null,12,null,13,null,null,14]

Constraints:

  • The depth of the n-ary tree is less than or equal to 1000.
  • The total number of nodes is between [0, 10⁴].

Follow up: Can your solution work for the graph problem?



Company Tags
Solution 1
||Ln 1, Col 1

root =