Closest Binary Search Tree Value II

Hard Company Tags

Given the root of a binary search tree, a target value, and an integer k, return the k values in the BST that are closest to the target. You may return the answer in any order.

You are guaranteed to have only one unique set of k values in the BST that are closest to the target.

Example 1:

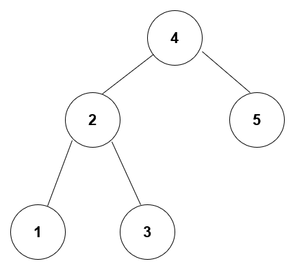
Input: root = [4,2,5,1,3], target = 3.714286, k = 2

Output: [4,3]

Example 2:

Input: root = [1], target = 0.000000, k = 1

Output: [1]

Constraints:

  • The number of nodes in the tree is n.
  • 1 <= k <= n <= 10⁴.
  • 0 <= Node.val <= 10⁹
  • -10⁹ <= target <= 10⁹

Follow up: Assume that the BST is balanced. Could you solve it in less than O(n) runtime (where n = total nodes)?



Company Tags
Solution 1
||Ln 1, Col 1

root =

target =

k =