Closest Binary Search Tree Value

Easy Company Tags

Given the root of a binary search tree and a target value, return the value in the BST that is closest to the target. If there are multiple answers, print the smallest.

Example 1:

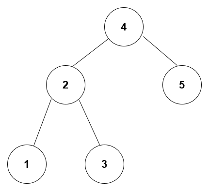
Input: root = [4,2,5,1,3], target = 3.714286

Output: 4

Example 2:

Input: root = [1], target = 4.428571

Output: 1

Constraints:

  • The number of nodes in the tree is in the range [1, 10⁴].
  • 0 <= Node.val <= 10⁹
  • -10⁹ <= target <= 10⁹


Company Tags
Solution 1
||Ln 1, Col 1

root =

target =