Diameter of N-Ary Tree

Medium Company Tags

Given a root of an N-ary tree, you need to compute the length of the diameter of the tree.

The diameter of an N-ary tree is the length of the longest path between any two nodes in the tree. This path may or may not pass through the root.

(Nary-Tree input serialization is represented in their level order traversal, each group of children is separated by the null value.)

Example 1:

Input: root = [1,null,3,2,4,null,5,6]

Output: 3

Explanation: Diameter is shown in red color.

Example 2:

Input: root = [1,null,2,null,3,4,null,5,null,6]

Output: 4

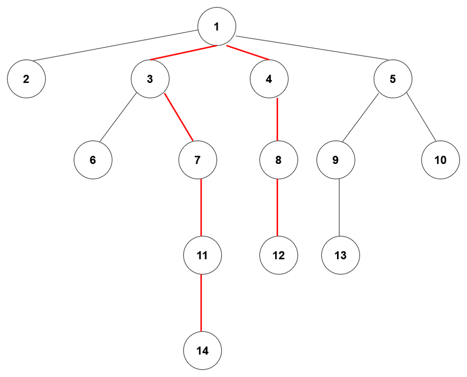
Example 3:

Input: root = [1,null,2,3,4,5,null,null,6,7,null,8,null,9,10,null,null,11,null,12,null,13,null,null,14]

Output: 7

Constraints:

  • The depth of the n-ary tree is less than or equal to 1000.
  • The total number of nodes is between [1, 10⁴].


Company Tags
Solution 1
||Ln 1, Col 1

root =