Handshakes That Don't Cross

Hard Company Tags

You are given an even number of people numPeople that stand around a circle and each person shakes hands with someone else so that there are numPeople / 2 handshakes total.

Return the number of ways these handshakes could occur such that none of the handshakes cross.

Since the answer could be very large, return it modulo 10⁹ + 7.

Example 1:

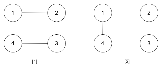
Input: numPeople = 4

Output: 2

Explanation:
There are two ways to do it, the first way is [(1,2),(3,4)] and the second one is [(2,3),(4,1)].

Example 2:

Input: numPeople = 6

Output: 5

Constraints:

  • 2 <= numPeople <= 1000
  • numPeople is even.


Company Tags
Solution 1
||Ln 1, Col 1

numPeople =