Maximum Average Subtree

Medium Company Tags

Given the root of a binary tree, return the maximum average value of a subtree of that tree. Answers within 10⁻⁵ of the actual answer will be accepted.

A subtree of a tree is any node of that tree plus all its descendants.

The average value of a tree is the sum of its values, divided by the number of nodes.

Example 1:

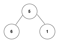
Input: root = [5,6,1]

Output: 6.00000

Explanation:
For the node with value = 5 we have an average of (5 + 6 + 1) / 3 = 4.
For the node with value = 6 we have an average of 6 / 1 = 6.
For the node with value = 1 we have an average of 1 / 1 = 1.
So the answer is 6 which is the maximum.

Example 2:

Input: root = [0,null,1]

Output: 1.00000

Constraints:

  • The number of nodes in the tree is in the range [1, 10⁴].
  • 0 <= Node.val <= 10⁵


Company Tags
Solution 1
||Ln 1, Col 1

root =