Two Sum BSTs

Medium Company Tags

Given the roots of two binary search trees, root1 and root2, return true if and only if there is a node in the first tree and a node in the second tree whose values sum up to a given integer target.

Example 1:

Input: root1 = [2,1,4], root2 = [1,0,3], target = 5

Output: true

Explanation: 2 and 3 sum up to 5.

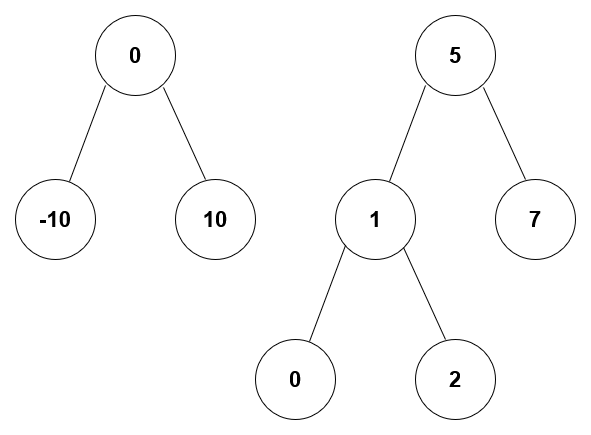
Example 2:

Input: root1 = [0,-10,10], root2 = [5,1,7,0,2], target = 18

Output: false

Constraints:

  • The number of nodes in each tree is in the range [1, 5000].
  • -10⁹ <= Node.val, target <= 10⁹


Company Tags
Solution 1
||Ln 1, Col 1

root1 =

root2 =

target =