Verify Preorder Sequence in Binary Search Tree

Medium

Company Tags

Given an array of unique integers preorder, return true if it is the correct preorder traversal sequence of a binary search tree.

Example 1:

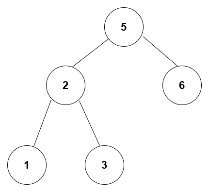
Input: preorder = [5,2,1,3,6]

Output: true

Example 2:

Input: preorder = [5,2,6,1,3]

Output: false

Constraints:

  • 1 <= preorder.length <= 10⁴
  • 1 <= preorder[i] <= 10⁴
  • All the elements of preorder are unique.

Follow up: Could you do it using only constant space complexity?



Company Tags
Solution 1
||Ln 1, Col 1

preorder =