Check Completeness of a Binary Tree

Medium Topics Company Tags

You are given the root of a binary tree, determine if it is a complete binary tree.

In a complete binary tree, every level, except possibly the last, is completely filled, and all nodes in the last level are as far left as possible. It can have between 1 and (2^h)^ nodes inclusive at the last level h`.

Example 1:

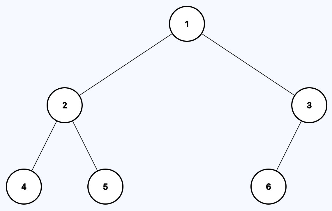
Input: root = [1,2,3,4,5,6]

Output: true

Example 2:

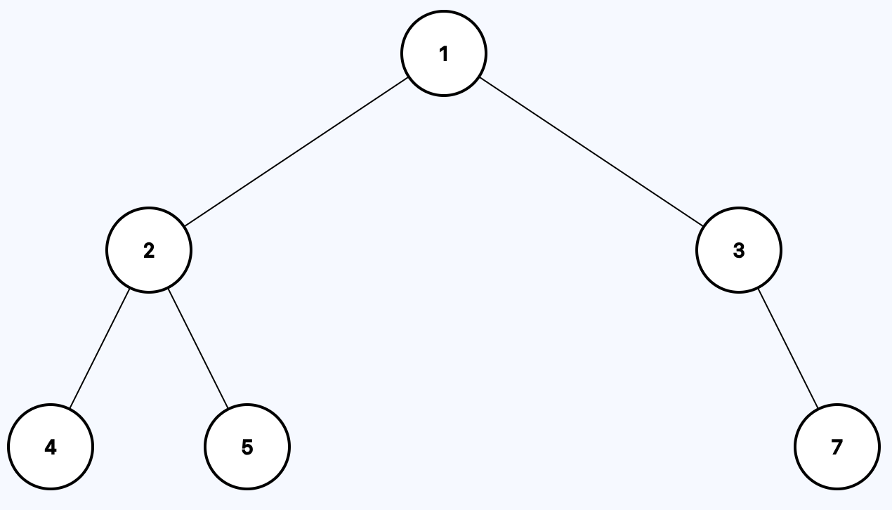
Input: root = [1,2,3,4,5,null,7]

Output: false

Example 3:

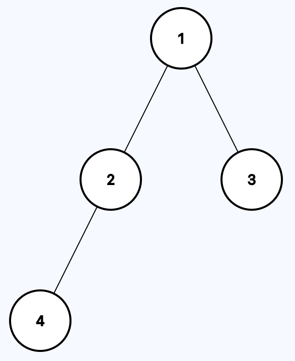
Input: root = [1,2,3,4]

Output: true

Constraints:

  • 1 <= The number of nodes in the tree <= 100.
  • 1 <= Node.val <= 1000


Topics

Company Tags

Please upgrade to NeetCode Pro to view company tags.


Solution 1
||Ln 1, Col 1

root =